By Joe Udo
BEIJING (CONVERSEER) – According to the National Space Science Center of the Chinese Academy of Sciences, the world’s first extraterrestrial negative ion analyzer (NILS) carried by the Chang’e 6 lander has successfully achieved the first direct detection of negative ions on the lunar surface, revealing the existence of negative ions generated by the solar wind on the moon and solving the mystery of the existence of negative ions on the moon that has long puzzled the scientific community.
As is known, the Moon is a representative of celestial bodies without an atmosphere, allowing solar wind to directly bombard its surface. Recent research results indicate that after solar wind protons hit the lunar regolith, most are injected into the regolith, approximately 10%–20% are scattered as energy neutral atoms (ENA), and approximately 0.1%–1% are reflected as positive ions.
Furthermore, theoretical and laboratory studies have anticipated that some protons may capture a second electron during scattering to form negative ions (H⁻). However, due to photodesorption, H⁻ readily loses electrons and dissipates under solar radiation, with a lifetime of only about 0.07 seconds at 1 AU. Therefore, it is difficult for them to survive to the altitude of the lunar orbiter, which is why previous lunar orbital exploration missions have failed to capture negative ion signals.

It was learned from the National Space Science Center of the Chinese Academy of Sciences that the Chang’e 6 lander carried a negative ion analyzer (NILS) jointly developed by the Swedish Institute of Space Physics and the National Space Science Center of the Chinese Academy of Sciences. This is the world’s first negative ion detector dedicated to extraterrestrial space . It obtained six valid H⁻ energy spectrum data during two days of observation, realizing the first direct detection of negative ions on the lunar surface by mankind.
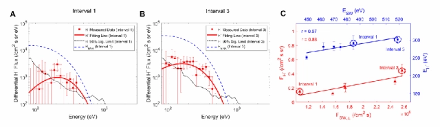
Researchers systematically compared and analyzed this data with solar wind parameters observed concurrently by the European Artemis satellite, discovering a clear pattern: the flux and energy of hydrogen ions show a very strong positive correlation with the flux and energy of the solar wind. The flux of negative ions during the period of strongest solar wind is three times that during the period of weakest solar wind. This provides direct observational evidence for the theory that “negative ions originate from the bombardment of the lunar surface by the solar wind.“
READ ALSO: Chinese scientists discover new particle, opening frontiers in matter exploration
Furthermore, the average energy of H⁻ is concentrated in the 250–300 eV range, indicating that these negative ions are mainly generated by the scattering of solar wind on the lunar surface. This study further utilizes Monte Carlo simulations of particle distribution to reveal their spatial distribution characteristics:
-
On the sunlit side, due to photodesorption, H⁻ is confined within a thin layer close to the lunar surface, and its density decreases rapidly with altitude, dropping to below 10⁵ m⁻³ above 50 km.
-
On the shaded side, since the area is in the lunar shadow and receives no sunlight, the photodesorption effect disappears, and H⁻ can be picked up by the electromagnetic field to form a long negative ion tail extending several lunar radii.
This newly discovered component of charged particles could participate in filling the plasma cavity in the lunar wake region. During extreme solar wind density events, H⁻ density can be more than 10 times higher than normal conditions, which could have a significant impact on the lunar space environment, such as generating plasma fluctuations.

This study, utilizing the first lunar surface negative ion observation data from the Chang’e 6 NILS mission, discovered a strong correlation between H⁻ flux and energy and solar wind parameters, providing direct observational evidence that lunar surface H⁻ originates from solar wind scattering processes. These results not only enhance our understanding of the lunar plasma environment but also offer new perspectives for studying lunar surface space weathering and the exosphere.
